Notice
Recent Posts
Recent Comments
Link
매일 매일 미라클 코딩
알고리즘 with 파이썬 (6) - DFS 깊이 우선 탐색 개념 본문
DFS ( Depth First Search ) : 최대한 멀리있는 노드를 우선으로 탐색하는 방식
특정상황에서 최대한 깊숙이 들어가서 녿를 방문한 후 , 다시 돌아가 다른 경로를 탐색한다.
이 때 스택 자료구조를 이용한다
1) 탐색 시작 노드를 스택에 삽입 한 후 방문처리
2) 스택 최상단에 방문하지 않은 인접 노드가 있다면 그 인접노드를 스택에 넣고 방문처리 한다. 또 그 인접노드의 인접노드중 방문하지 않은 게 있다면 스택에 넣고 방문처리 ... (이때 재귀함수가 쓰인다)
3) 방문하지 않은 인접노드가 더 이상 없으면 수행을 멈춘다.

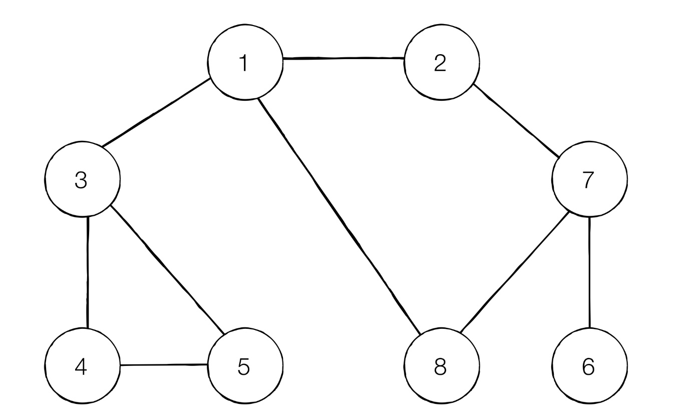
아래는 위 그래프를 DFS 방식으로 탐색하는 코드이다
#DFS 예제
#DFS 메소드 정의
def dfs(graph, v, visited):
# 현재노드를 방문처리
visited[v] =True
print(v,end=' ')
#현재노드와 연결된 다른 노드를 재귀적으로 방문
for i in graph[v]:
if not visited[i]:
dfs(graph, i , visited)
#각 노드가 연결된 정보를 리스트 자료형으로 표현(2차원 리스트)
graph =[
[], #0번노드는 없으니깐~!
[2,3,8], #1번노드
[1,7], #2번노드
[1,4,5], #3번노드 연결된 값들
[3,5], #4번 ..
[3,4], #5번..
[7],
[2,6,8],
[1,7]
]
#각 노드가 방문된 정보를 담을 리스트 자료형(1차원 리스트)
visited = [False]*9
dfs(graph,1,visited)
결과
1 2 7 6 8 3 4 5
* 처음에 보고 잘 이해가지 않았는데 스택 구조를 그리면서 해보니 이해가 잘 간다. 생각해보니 정처기에서 이미 한번 처리순서 문제로 경험했던 주제.
'알고리즘 > PYTHON' 카테고리의 다른 글
| 유용한 파이썬 문법 - 문자열 (0) | 2021.04.22 |
|---|---|
| 알고리즘 with 파이썬 (7) - BFS 너비 우선 탐색 개념 (0) | 2021.04.06 |
| 알고리즘 with 파이썬 - (5) 스택과 큐 구현하기 (0) | 2021.04.05 |
| 알고리즘 with 파이썬 (4) - 그리디 (0) | 2021.04.05 |
| 알고리즘 with 파이썬 (3) - 병합정렬 (0) | 2021.04.04 |